您當前的位置:首頁 / 新聞中心 / 行業動態 / 氣動調節閥的工作原理及計算選型
氣動調節閥的工作原理
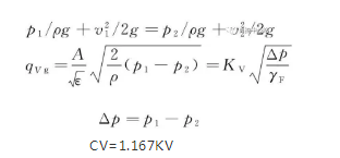
調節閥同孔板一樣,是局部阻力元件。與孔板不同的是,調節閥的節流面積可以由閥芯的移動來改變,是可變的節流元件。因此,可以將調節閥模擬成孔板節流形式。對于不可壓縮流體,根據伯努利方程,調節閥的流量方程式為

式中,v1,v2——節流前后流體速度;p1,p2——節流前后流體壓力;A——節流管件截面積;qVg——體積流量;ε——阻力系數;g——重力加速度;ρ——流體密度;γF——重度;KV,CV——流量系數,國內一般用KV表示,國際上用CV表示。
調節閥由執行機構和閥門兩部分組成,本文以氣動調節閥為例,按其執機構形式可分為薄膜式調節閥、活塞式調節閥和長行程調節閥;按閥體結構形式可分為單座閥、雙座閥、角閥、三通閥、偏心旋轉閥、蝶閥、球閥、快速切斷閥等。
2 氣動調節閥的計算選型
2.1 初選閥型
閥型選擇重要且復雜,初選閥型主要包括計算流量系數、預估噪聲等,初步選擇閥體結構型式。若計算不符合要求,還應重新選閥型,并重復計算,直到滿足要求。
2.1.1 確定工藝條件
調節閥的選型首先要確定使用條件,包括介質性質及主要物化參數,流量、壓力、溫度等工藝參數,配管情況(型式、閥前后管徑、系統阻力計算等),自控對象類型及特點,調節性能要求等,初選閥型的特點及適用場合可參考表1所列內容。
初選閥型的特點及適用場合
單座閥(VP,JP):泄漏量小,允許壓差小,JP型閥具有體積小、質量輕等特點。適用于一般流體,要求泄漏量小或切斷場合;
雙座閥(VN):不平衡力小,允許壓差較單座閥大;流路復雜,流量系數比VP型閥大;泄漏量大;適用于壓差較大,對泄漏量要求不嚴的一般流體;
套筒閥(VM,JM):穩定性好,允許壓差較大,易維護;適用于一般流體;
角形閥(VS):流路簡單,便于自凈和清洗;適用于高黏度、含顆粒等的介質,特別適用于要求直角連接場合偏心旋轉閥;
偏心旋轉閥(VZ)體積小、質量輕、密封性強;適用于泄漏量小,允許壓差較大場合;
蝶閥(vw):結構緊湊、質量輕、流量系數大、價格低;適用于大流量、低壓力、泄漏量要求不高的場合,尤其適用于濃濁漿狀及含懸浮顆粒的流體控制;
球閥(VP,JP)結構緊湊、質量輕、流量系數大、密封性好;適用于要求切斷及紙漿、污水和含有纖維質、顆粒物等介質控制。
2.1.2 調節閥閥型初選
根據2.1.1條中選定的閥型,確定調節閥流向及流量特性,見表2所列,查詢產品說明書或有關資料,查取所需的管徑、壓力等級等參數及閥特性參數,如液體壓力恢復系數FL,壓差比系數XT等。不同廠家對調節閥FL,XT的取值略有差別,可參考《調節閥口徑計算指南》[1]和廠家樣本確定的FL和XT取值。
相關產品
相關新聞
氣動調節閥:反應釜溫度的準確調控者2025-09-09
氣動調節閥:反應釜溫度的準確調控者
氣動調節閥:潔凈車間空氣的守護者2025-08-26
氣動調節閥是潔凈車間空氣的守護者。它通過準確調節新風和回風比例,有效保證了車間內的空氣質量,在潔凈車…
氣動調節閥:藥品無菌質量的捍衛者2025-08-12
氣動調節閥:藥品無菌質量的捍衛者
氣動調節閥:物料輸送的穩定保障者2025-07-28
氣動調節閥:物料輸送的穩定保障者
氣動調節閥:建筑暖通空調的溫度管家2025-07-08
氣動調節閥:建筑暖通空調的溫度管家
氣動調節閥:新風系統的空氣調節衛士2025-06-16
氣動調節閥:新風系統的空氣調節衛士